ミラノ在住の荒川先生が論文を出された。

論文のアブストラクトを読めばおおよその内容は分かるが、もう少し詳しく見ていこう。

コロナ禍は(およびコロナワクチン禍は)、思えば最初からおかしなことばかりだった。
2019年12月武漢で肺炎症状を呈する患者が現れた。まもなく原因ウイルスの遺伝子配列が特定され、WHOに報告された。これを受けて、国際ウイルス分類委員会がこのウイルスをSARSコロナウイルス2型(SARS-CoV-2)と命名し、2020年3月11日WHOがパンデミックを宣言した。
この流れを見て、「さすがWHO。すばやい対応だね」などと能天気に解釈することはできない。
病院に肺炎みたいな症状のある患者が来たとして、「原因不明のウイルス性疾患だ!」となりますか?たいていの医者は「カロナール(解熱薬)出しときますね」で終わりでしょう。仮に「謎の疾患だ!」となったとして、そんなにすぐに原因ウイルスの特定ができますか?仮にできたとして、中国の一地域で感染症が広まってるだけの状態で、「世界的パンデミックだ!」とWHOが宣言しますか?
でもこれが実際に起こったことなんですね。
そして、メディアを駆使した恐怖煽動(恐怖洗脳)の1年を経て、「コロナ対策の切り札!ワクチン登場!」となる。
2021年2月、日本ではまず医療従事者から優先的に接種が始まり、4月からは高齢者に開始され、その後一般市民へと段階的に拡大された。
ワクチンが始まった当初、政府は「想定よりも接種のスピードが遅い」として、メディアを通じて人々への迅速な接種を呼び掛けた。
僕は当時からワクチンのヤバさについて情報発信していたけど、「日本のワクチン接種が遅いのは前総理のアベちゃんが密かに打たせまいとして頑張ってくれているのではないか」なんて推測まであった。
https://note.com/nakamuraclinic/n/n4ebbed3df2bb
的外れな推測だったね。ふたを開けて見れば、日本は2024年10月までに、1人あたり最大8回の接種を受けて、世界最高の接種率を達成した。
国際比較を見れば、日本の異常性がよくわかる。

日本人はあの毒ワクチンを世界一多く打った。
我々日本人はこの事実を、一度立ち止まって、しっかり噛みしめる必要があります。
これが一体何を意味するのか。
以下に紹介するように、何百万人という人がワクチンで死亡しました。荒川論文の結論を先取りして紹介すると、接種から1年以内に389万人が死亡しました。この論文では死亡にフォーカスを当てているので、死亡には至らない体調不良やシェディングのことは言及していませんが、あのワクチンにより死亡を含め日本人がどれほど莫大な健康被害を受けたことか、想像を絶するものがあります。

恐ろしい感染症が流行したとされる2020年、日本では超過死亡が発生するどころか、むしろ減少していた。メディアの喧騒とは逆に、死亡の少ない穏やかな年だったということです。
超過死亡は2021年、コロナワクチンの接種開始と時期を同じくして発生しました。この事実を改めて確認してください。同様の傾向は欧米諸国でも報告されています。コロナは恐くなかった。本当に恐ろしいのはコロナワクチンだったということです。
『mRNAワクチン中止を求める国民連合』などの市民ボランティアが自治体に対し、ワクチン接種後の死亡事例についての情報開示請求をした。項目としては、年齢、接種日、ロット番号、接種回数、死亡日など。その結果、402万5948人に接種された1754万5662回分のデータが集まった。
これは莫大なデータです。
一般に、統計データの有意差を見るためには、400以上のサンプルがあれば誤差5%以内の分析ができます。400万人分の接種データは、ワクチン被害の全容を推測するうえで申し分ない十分量です。
何が分かったか?
まず、明確にロット差がありました。
下のグラフは、致死率が高いものから順に並べたものです。

たとえば、HG5938というロット(赤い線で囲ったロット)は14人に投与され、そのうち10人が死亡しました。つまり、致死率71%のロットだったということです。
このロットは投与数が少ない極端な例だけれども、とはいえ、死亡率の上位10ロットは致死率12%を超えています。
接種してから死亡に至るまでの時間に注目してデータ分析すると、下のグラフになります。これは、接種当日または翌日に死亡した接種者が3人以上存在するロットを示しています。たとえば、FM3289を打った10人は、接種当日または翌日に死亡しています。

これらのロットは即効性の高い毒物だといえますが、このような急死はむしろ例外的で、大半のロットでは、接種から死亡まで、4か月ほどのタイムラグが生じます。

たとえば上記のグラフは、FP9647を打った人の接種と死亡との関連を示しています。このロットは2022年8月に接種のピーク(たくさんの人が打った)があり、その後、打った人のなかから死亡する人がじわじわと増えていき、だいたい4か月ほどで死者数のピークを迎えます。

このロットは4回目の接種期間にも投与されていて、4回目接種者の死亡数増加の原因になっている可能性が高い、と荒川先生は分析しています。
接種からどれくらいで死亡するのか。それはロットによってかなり違います。

たとえば、GJ2675を打った人は、接種の2~5か月後に死亡のピークを迎え、その後徐々に減少しましたが、HG2273を打った人は2か月後に徐々に死亡し始め、高い死亡率を1年以上持続しました。
ロットによって投与回数は全然違う。20万回以上使われたロットもあれば、数回しか使われていないロットもある。そこで、ロットごとの投与回数に注目し、各ロットの接種後1年以内の死亡数と死亡率を計算した。すると、死亡数は以下のようになった。

このグラフの見方は、要するに、みなさんが今からコロナワクチンを受けるとして、最終接種後1年以内に2000人以上の死亡を招いたロットを引く確率は16.4%というふうに読みます。1000~2000人が亡くなったロットを引く確率は28.7%、500~999人が亡くなったロットの確率は21.3%です。つまり、接種後1年以内に200人以上の死亡を引き起こすロットを受ける確率は85.4%となります。
一方、死亡率に注目すると、このようなグラフが現れます。

死亡率1~2%のロットを引く確率は30.5%、0.5~1%のロットの確率は40.9%という具合です。
コロナワクチンを打った人のなかで、何回打った人が一番多いのか。
今回の分析で、「3回目接種まで」という人が21.9%で最大で、次に「4回目まで」という人が19.6%。逆に、「1回しか受けてない」という人は、たったの1.2%で、かなりレアです。事情はいろいろあるだろう。「1回目を打った後でワクチンのヤバさを知った」とか「1回目で体調を崩したので2回目以降を受けられなかった」とか。
とにかく、接種者とひとくちに言っても、1回~8回と幅があるわけです。
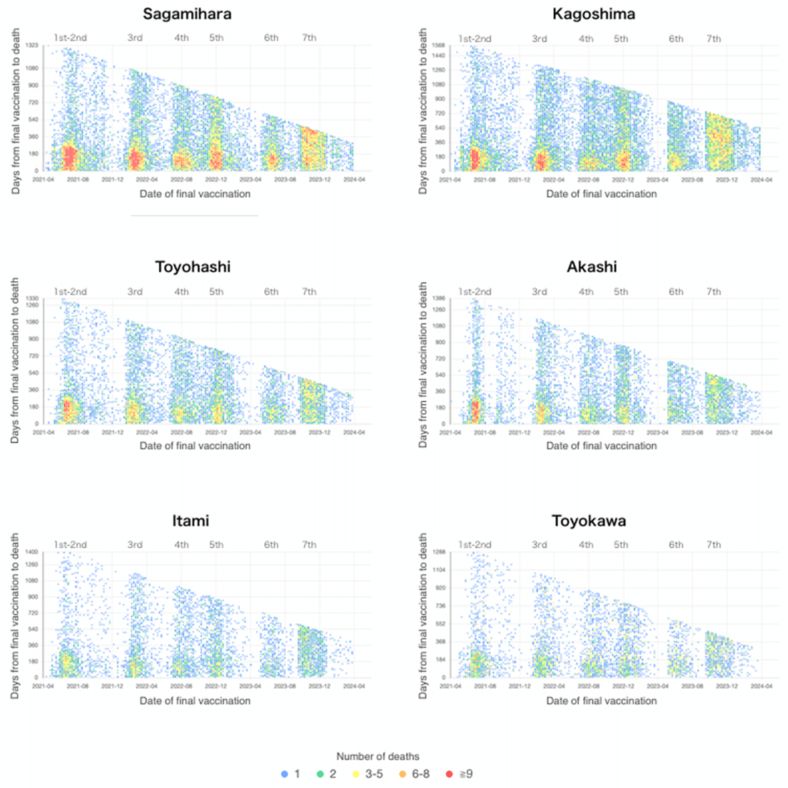
4年以上にわたって接種されたワクチンについて、接種後死亡の全体像を可視化するために、荒川先生はヒートマップを使いました。以下のようなグラフになります。

横軸は特定の接種日、縦軸は最終接種から死亡までの日数です。赤やオレンジは死亡件数の多い日を示している。つまり、2021年6月の1,2回目接種後、2022年3月の3回目接種後、2022年8月の4回目接種後、という具合です。このグラフも、やはり、死亡数のピークは接種直後ではなく、接種から数か月後に発生し、しばらく高い死亡率が持続することが分かります。特にこの傾向は、5回目と7回目の接種後の顕著でした。
この傾向は相模原、鹿児島、豊橋、明石、伊丹、豊川など、地方都市全体で一貫して見られました。

以下のグラフは、初回接種後何日目に各ワクチン接種者が死亡したか、および接種された回数を示しています。

まず、単純死亡率を分析します。ワクチン接種者総数(402万人)に対する週ごとの死亡者数の割合を算出します(左軸)。これを25.8倍して、日本全体の推定死亡数で正規化したのが右軸です。分かることは、接種者の死亡率は2021年2月の初回接種後から上昇しました。
次に、各個人の最終接種から死亡までの日数を分析しました。

左軸を単純死亡率、右軸を日本全体の推定死亡数として、1回目接種後死亡の接種から数週以内に発生した。2回目接種後死亡のピークは接種後7か月、3回目接種後は3~4か月、4回目から7回目接種後は約3か月後に発生した。
つまり、打てば打つほど、死亡率のピークが早くなっている。
さらに、各ピーク後は死亡率が低下するものの、4回目以上の接種後は持続的な死亡波が続く。特に、7回目接種後がすごくて、接種後3か月で達した死亡ピークが1年以上持続している。
週次死亡率は、1回目接種後0.01%、2回目、3回目接種後0.02%、4回目接種後0.03%、5回目、6回目接種後0.04%でピークに達した。
7回目接種後の死亡率は0.05%を超え、1年以上続いた。
つまり、接種回数が増えるにつれ、死亡率の波はより高くなり、ピークが早まり、減衰がゆるやかになった。特に7回目接種では死亡率が著しく高く、持続的に上昇した。
最終接種後1年以内の死亡率を分析すると、以下のようになる。

死亡率は世代間で大きく異なり、労働年齢層は若年層の10倍、高齢層は労働年齢層の10倍、死亡率が高くなる。特に注目すべきことは、追加接種ごとに死亡率が上昇する傾向があることです。
1回目接種後0.088%、2回目0.88%、3回目0.80%、4回目0.98%、5回目1.4%、6回目1.5%、7回目2.5%となった。
これは402万人のデータなので、25.8倍すると、日本人全体におけるワクチン接種後1年以内の推定死亡は、以下のようになります。

若年層で2967人、労働年齢層で36万8476人、高齢者層で351万8888人、合計389万330人。
これだけの人が、ワクチンを打って1年以内に命を落としたということです。
先月、荒川先生がオンラインで上記論文の説明会をするというので、参加した。話を聞きながら、僕は胸が苦しくなってきた。
コロナワクチンが体に悪いものだなんて、100万年前から知っている。しかし、ここまで完膚なきまでに、徹底的に、疫学的に、統計的に、反論の余地なくワクチンの有害性を示した研究を、僕は知らない。
世界的な研究に違いない。日本のメディア関係者および医療関係者は、この論文を読まねばならない。それは人々の健康に影響を与える立場にある人の最低限の義務です。
改めて、「とんでもないワクチンが打たれたんだな」と思う。しかも悲劇的なことに、救いがたいことに、それは現在進行形なんだ。政府は「重大な懸念は認められない」と繰り返し、いまだに病院では「定期接種」としてコロナワクチンが接種されている。こんな、純然たる毒物が、市場から撤去されていない。現役バリバリで投与されている。
超過死亡について、メディアは「コロナ感染によるもの」と寝言みたいなことを言っている。この一事をとっても、オールドメディアは終わったと思う。こんなメディアを見ていては、人間精神が衰退します。
講演の最後、荒川先生、このようなことを言った。「統計データを分析しながら、犯罪捜査をしている気分になった」と。
政府は、ワクチン接種者の死亡率について、データを持っている。「あれがどういうワクチンか」、すでに分かっている。分かっていながら、接種を継続している。国家による重大犯罪に違いない。荒川先生は、秘められた悪事を暴いているような気持になったのだろう。
荒川先生は分子生物学が専門家で、仕事上統計学を使うことはあるだろうけど、統計学の専門家ではない。402万人1754万回のデータがあったとしても、データは適切な解析手法を知らなければ、宝の山どころか、ゴミの山に過ぎない。統計学の手法を駆使して、ワクチンの有害性を極めて明瞭に示した。大仕事に敬意を表したい。
きれいな結果が出ることは、研究者にとって喜ばしいことである。しかし荒川先生は、その結果を見て、同時に陰鬱な気分になった。僕が感じたのと同じ苦しさだろう。
ワクチンの有害性が、こんなに明瞭に示されては、接種者の立つ瀬がない。
僕は毎日のようにワクチン後遺症患者と接しているので、彼らのことを思うと、何ともつらかった。
世間の大半がコロナワクチンを打った。そして、世間の大半は、すでにワクチンのことを忘れている。あるいは、忘れたがっている。
でも、自分の体に何が注入されたか、本当は知るべきなんだよね。知って、怒らなきゃいけない。僕が「怒れ!」というのも変な話だけれど。